抱歉,您的浏览器无法访问本站

本页面需要浏览器支持(启用)JavaScript


了解详情 >

blaire

👩🏻‍💻星洲小课堂 SinClass

本周重点任务是使用Python要实现一个任意层的神经网络, 并在cat数据上测试.

1. 深度神经网络中的常用符号回顾

在上一周的内容中, 介绍了神经网络中的常用符号以及各种变量的维度. 不清楚的可以回顾上周的笔记内容.

image
image
image
image
image

2. Intuition about deep representation

关于深度神经网络直观地解释这部分笔记暂略, 请直接观看课程视频内容: Why deep representation?.

image
image

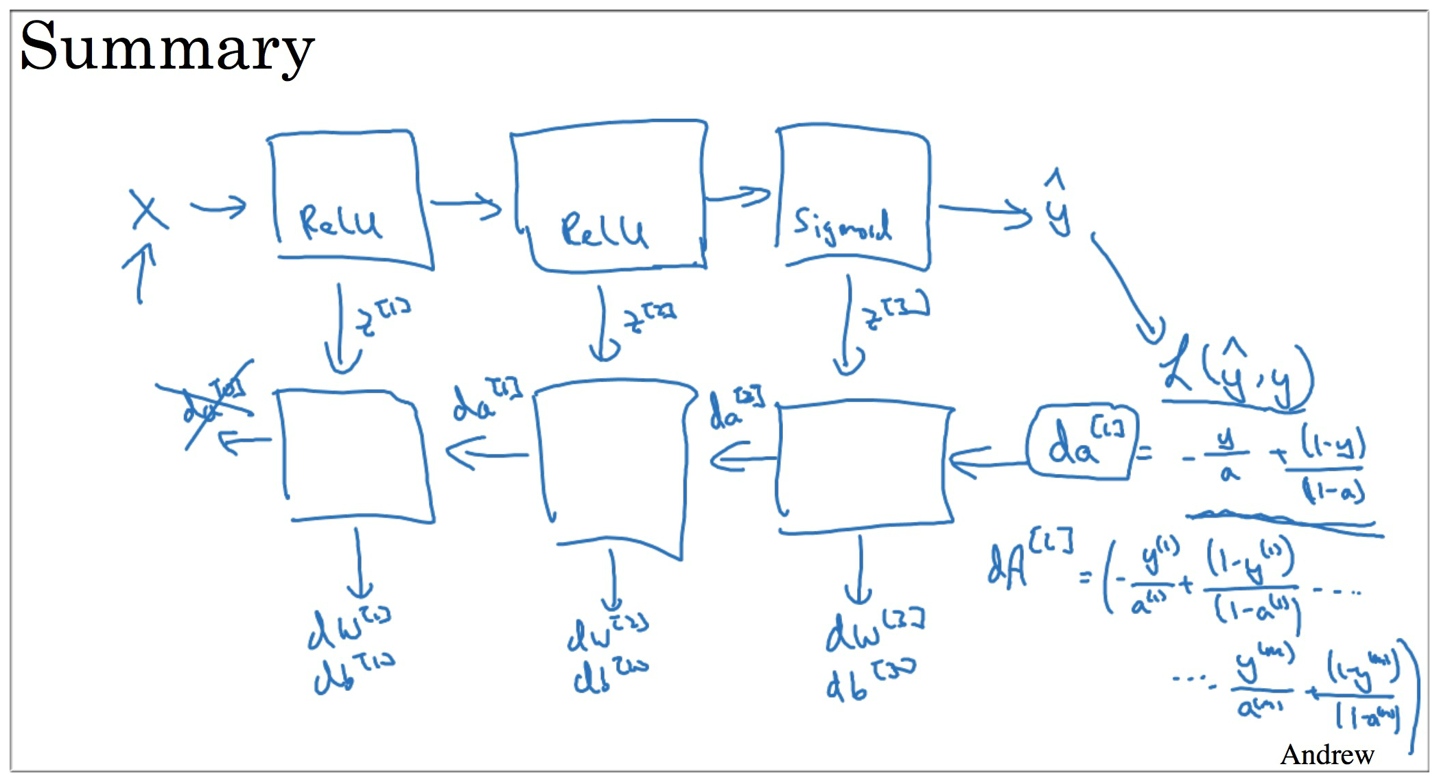
3. 深度神经网络中的前向/反向传播

在第三周的笔记中详细介绍了神经网络的前向/反向传播, 这里完全套用, 只是多了层数而已.

需要再详细了解手推的同学可以仔细研究上周的笔记内容

image
image
image

4. 参数与超参数

在神经网络中参数指的是 WW, bb, 这两个参数是通过梯度下降算法不断优化的. 而超参数指的是学习率, 迭代次数, 决定神经网络结构的参数以及激活函数的选择等等, 在后面我们还会提到 momentum, minibatch size, regularization等等. 这些都属于超参数, 需要我们手动设定.

image

这些超参数也决定了最终的参数 WW, bb. 不同的超参数的选择会导致模型很大的差别.

所以超参数的选择也非常重要 (后面的课程会讲解如何选择超参数).

image

5. 使用Python实现深度神经网络

DeepNeuralNetwork.py

1
2
3
4
5
6
7
8
9
10
11
12
13
14
15
16
17
18
19
20
21
22
23
24
25
26
27
28
29
30
31
32
33
34
35
36
37
38
39
40
41
42
43
44
45
46
47
48
49
50
51
52
53
54
55
56
57
58
59
60
61
62
63
64
65
66
67
68
69
70
71
72
73
74
75
76
77
78
79
80
81
82
83
84
85
86
87
88
89
90
91
92
93
94
95
96
97
98
99
100
101
102
103
104
105
106
107
108
109
110
111
112
113
114
115
116
117
118
119
120
121
122
123
124
125
126
127
128
129
130
131
132
133
134
135
136
137
138
139
140
141
142
143
144
145
146
147
148
149
150
151
152
153
154
155
156
157
158
159
160
161
162
163
164
165
166
167
168
169
def sigmoid(z):
return 1. / (1.+np.exp(-z))

def relu(Z):
A = np.maximum(0,Z)
return A

def leaky_relu(Z):
A = np.maximum(0,Z)
A[Z < 0] = 0.01 * Z
return A

class DeepNeuralNetwork():
def __init__(self, layers_dim, activations):
# assert (layers_dim[-1] == 1)
# assert (activations[-1] == 'sigmoid')
# assert (len(activations) == len(layers_dims)-1)
np.random.seed(1)
self.layers_dim = layers_dim
self.__num_layers = len(layers_dim)
self.activations = activations
self.input_size = layers_dim[0]
self.parameters = self.__parameters_initializer(layers_dim)
self.output_size = layers_dim[-1]

def __parameters_initializer(self, layers_dim):
# special initialzer with np.sqrt(layers_dims[l-1])
L = len(layers_dim)
parameters = {}
for l in range(1, L):
parameters['W'+str(l)] = np.random.randn(layers_dim[l], layers_dim[l-1]) / np.sqrt(layers_dims[l-1])
parameters['b'+str(l)] = np.zeros((layers_dim[l], 1))
return parameters

def __one_layer_forward(self, A_prev, W, b, activation):
Z = np.dot(W, A_prev) + b
if activation == 'sigmoid':
A = sigmoid(Z)
if activation == 'relu':
A = relu(Z)
if activation == 'leaky_relu':
A = leaky_relu(Z)
if activation == 'tanh':
A = np.tanh(Z)
cache = {'Z': Z, 'A': A}
return A, cache

def __forward_propagation(self, X):
caches = []
A_prev = X
caches.append({'A': A_prev})
# forward propagation by laryer
for l in range(1, len(self.layers_dim)):
W, b = self.parameters['W'+str(l)], self.parameters['b'+str(l)]
A_prev, cache = self.__one_layer_forward(A_prev, W, b, self.activations[l-1])
caches.append(cache)
AL = caches[-1]['A']
return AL, caches

def __compute_cost(self, AL, Y):
m = Y.shape[1]
cost = -np.sum(Y*np.log(AL) + (1-Y)*np.log(1-AL)) / m
return cost

def cost_function(self, X, Y):
# use the result from forward propagation and the label Y to compute cost
assert (self.input_size == X.shape[0])
AL, _ = self.__forward_propagation(X)
return self.__compute_cost(AL, Y)

def sigmoid_backward(self, dA, Z):
s = sigmoid(Z)
dZ = dA * s*(1-s)
return dZ

def relu_backward(self, dA, Z):
dZ = np.array(dA, copy=True)
dZ[Z <= 0] = 0
return dZ

def leaky_relu_backward(self, dA, Z):
dZ = np.array(dA, copy=True)
dZ[Z <= 0] = 0.01
return dZ

def tanh_backward(self, dA, Z):
s = np.tanh(Z)
dZ = 1 - s*s
return dZ

def __linear_backward(self, dZ, A_prev, W):
# assert(dZ.shape[0] == W.shape[0])
# assert(W.shape[1] == A_prev.shape[0])
m = A_prev.shape[1]
dW = np.dot(dZ, A_prev.T) / m
db = np.sum(dZ, axis=1, keepdims=True) / m
dA_prev = np.dot(W.T, dZ)
return dA_prev, dW, db

def __activation_backward(self, dA, Z, activation):
assert (dA.shape == Z.shape)
if activation == 'sigmoid':
dZ = self.sigmoid_backward(dA, Z)
if activation == 'relu':
dZ = self.relu_backward(dA, Z)
if activation == 'leaky_relu':
dZ = self.leaky_relu_backward(dA, Z)
if activation == 'tanh':
dZ = self.tanh_backward(dA, Z)
return dZ

def __backward_propagation(self, caches, Y):
m = Y.shape[1]
L = self.__num_layers
grads = {}
# backward propagate last layer
AL, A_prev = caches[L-1]['A'], caches[L-2]['A']
dAL = - (Y/AL - (1-Y)/(1-AL))
grads['dZ'+str(L-1)] = self.__activation_backward(dAL, caches[L-1]['Z'], self.activations[-1])
grads['dA'+str(L-2)], \
grads['dW'+str(L-1)], \
grads['db'+str(L-1)] = self.__linear_backward(grads['dZ'+str(L-1)],
A_prev, self.parameters['W'+str(L-1)])
# backward propagate by layer
for l in reversed(range(1, L-1)):
grads['dZ'+str(l)] = self.__activation_backward(grads['dA'+str(l)],
caches[l]['Z'],
self.activations[l-1])
A_prev = caches[l-1]['A']
grads['dA'+str(l-1)], \
grads['dW'+str(l)], \
grads['db'+str(l)] = self.__linear_backward(grads['dZ'+str(l)], A_prev, self.parameters['W'+str(l)])
return grads

def __update_parameters(self, grads, learning_rate):
for l in range(1, self.__num_layers):
# assert (self.parameters['W'+str(l)].shape == grads['dW'+str(l)].shape)
# assert (self.parameters['b'+str(l)].shape == grads['db'+str(l)].shape)
self.parameters['W'+str(l)] -= learning_rate * grads['dW'+str(l)]
self.parameters['b'+str(l)] -= learning_rate * grads['db'+str(l)]

def fit(self, X, Y, num_iterations, learning_rate, print_cost=False, print_num=100):
for i in range(num_iterations):
# forward propagation
AL, caches = self.__forward_propagation(X)
# compute cost
cost = self.__compute_cost(AL, Y)
# backward propagation
grads = self.__backward_propagation(caches, Y)
# update parameters
self.__update_parameters(grads, learning_rate)
# print cost
if i % print_num == 0 and print_cost:
print ("Cost after iteration %i: %f" %(i, cost))
return self

def predict_prob(self, X):
A, _ = self.__forward_propagation(X)
return A

def predict(self, X, threshold=0.5):
pred_prob = self.predict_prob(X)
threshold_func = np.vectorize(lambda x: 1 if x > threshold else 0)
Y_prediction = threshold_func(pred_prob)
return Y_prediction

def accuracy_score(self, X, Y):
pred = self.predict(X)
return len(Y[pred == Y]) / Y.shape[1]

main.py

1
2
3
4
5
6
7
8
9
10
11
12
13
14
15
16
17
18
19
20
21
22
23
24
25
26
27
28
29
30
31
32
33
34
35
36
37
38
39
40
41
42
43
44
45
46
47
48
49
50
51
52
53
54
55
56
57
58
59
60
61
62
63
64
65
66
67
68
69
70
71
72
73
74
75
76
77
78
79
80
81
82
83
84
85
86
87
import time
import numpy as np
import h5py
import matplotlib.pyplot as plt
import scipy
from PIL import Image
from scipy import ndimage
from dnn_app_utils_v2 import *

%matplotlib inline
plt.rcParams['figure.figsize'] = (5.0, 4.0) # set default size of plots
plt.rcParams['image.interpolation'] = 'nearest'
plt.rcParams['image.cmap'] = 'gray'

%load_ext autoreload
%autoreload 2

np.random.seed(1)

train_x_orig, train_y, test_x_orig, test_y, classes = load_data()

# Explore your dataset
m_train = train_x_orig.shape[0]
num_px = train_x_orig.shape[1]
m_test = test_x_orig.shape[0]

print ("Number of training examples: " + str(m_train))
print ("Number of testing examples: " + str(m_test))
print ("Each image is of size: (" + str(num_px) + ", " + str(num_px) + ", 3)")
print ("train_x_orig shape: " + str(train_x_orig.shape))
print ("train_y shape: " + str(train_y.shape))
print ("test_x_orig shape: " + str(test_x_orig.shape))
print ("test_y shape: " + str(test_y.shape))

# Reshape the training and test examples
train_x_flatten = train_x_orig.reshape(train_x_orig.shape[0], -1).T # The "-1" makes reshape flatten the remaining dimensions
test_x_flatten = test_x_orig.reshape(test_x_orig.shape[0], -1).T

# Standardize data to have feature values between 0 and 1.
train_x = train_x_flatten/255.
test_x = test_x_flatten/255.

print ("train_x's shape: " + str(train_x.shape))
print ("test_x's shape: " + str(test_x.shape))
# Please note that the above code is from the programming assignment

import DeepNeuralNetwork
layers_dims = (12288, 20, 7, 5, 1)
# layers_dims = (12288, 10, 1)
# layers_dims = [12288, 20, 7, 5, 1] # 5-layer model
activations = ['relu', 'relu', 'relu','sigmoid']
num_iter = 2500
learning_rate = 0.0075

clf = DeepNeuralNetwork(layers_dims, activations)\
.fit(train_x, train_y, num_iter, learning_rate, True, 100)
print('train accuracy: {:.2f}%'.format(clf.accuracy_score(train_x, train_y)*100))
print('test accuracy: {:.2f}%'.format(clf.accuracy_score(test_x, test_y)*100))

# output
# Cost after iteration 0: 0.771749
# Cost after iteration 100: 0.672053
# Cost after iteration 200: 0.648263
# Cost after iteration 300: 0.611507
# Cost after iteration 400: 0.567047
# Cost after iteration 500: 0.540138
# Cost after iteration 600: 0.527930
# Cost after iteration 700: 0.465477
# Cost after iteration 800: 0.369126
# Cost after iteration 900: 0.391747
# Cost after iteration 1000: 0.315187
# Cost after iteration 1100: 0.272700
# Cost after iteration 1200: 0.237419
# Cost after iteration 1300: 0.199601
# Cost after iteration 1400: 0.189263
# Cost after iteration 1500: 0.161189
# Cost after iteration 1600: 0.148214
# Cost after iteration 1700: 0.137775
# Cost after iteration 1800: 0.129740
# Cost after iteration 1900: 0.121225
# Cost after iteration 2000: 0.113821
# Cost after iteration 2100: 0.107839
# Cost after iteration 2200: 0.102855
# Cost after iteration 2300: 0.100897
# Cost after iteration 2400: 0.092878
# train accuracy: 98.56%
# test accuracy: 80.00%

6. 本周内容回顾

  • 深度神经网络中的前向/反向传播
  • 参数与超参数
  • 使用Python实现深度神经网络

7. Reference

Comments